Customer Support: (+91) 9041620027. FREE SHIPPING ON ORDERS OVER Rs. 750.
Previous
Previous Product Image

Land acquisition and Compensation Cases 2025

Original price was: ₹2,000.00.Current price is: ₹1,399.00.
Next

Sodhi Publication’s Sexual Offences (Sexual Violence) Anti-Rape Laws Harassment POCSO By Paras Singh Edition 2026

Original price was: ₹2,700.00.Current price is: ₹1,699.00.
Next Product Image

Description

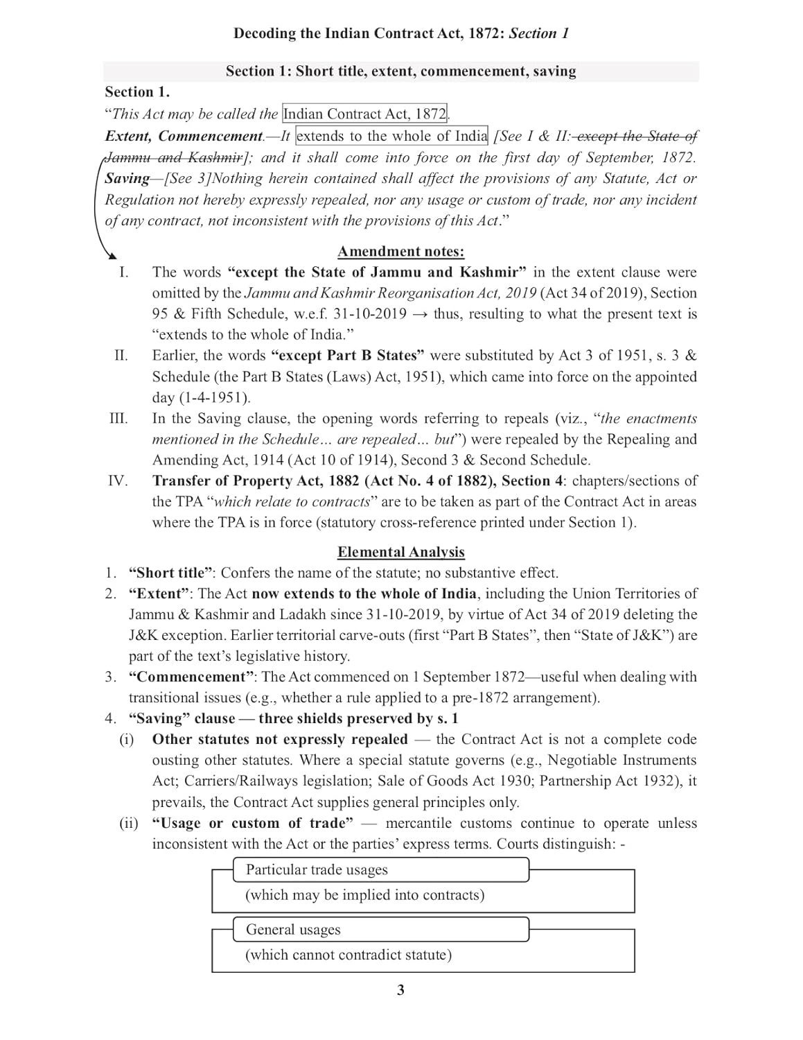
Lawmann’s Decoding the Law on Contracts & Specific Relief by Varun Soni

Recently Viewed Products

Shopping cart

1

Subtotal: 580.00

View cartCheckout